교과서개념잡기중2-1답지 2026최신판바로보는사진답지 모바일최적화

교과서 개념잡기 중2-1 답지 (1~48p) | 유리수와 순환소수, 식의 계산

📚 교과서 개념잡기 중2-1 답지 (1~48p)

교과서 개념을 가장 쉽게 잡아주는 ‘비상 교과서 개념잡기 중2-1’의 정답과 풀이 1편입니다.
이 포스트에서는 1페이지부터 48페이지까지의 초반부 해설을 확인하실 수 있습니다.

중2 수학의 첫 단추인 유리수와 순환소수, 그리고 식의 계산 단원입니다. 지수법칙과 단항식/다항식의 계산은 고등 수학까지 이어지는 필수 기초이므로, 개념 설명과 함께 답지를 활용해 정확히 익히시기 바랍니다.

💡 개념잡기 학습 포인트
  • 유리수 정의: 순환소수가 유리수임을 이해하고, 분수로 바꾸는 과정을 연습하세요.
  • 지수법칙: 밑이 같은 거듭제곱의 곱셈, 나눗셈, 거듭제곱 규칙을 헷갈리지 않게 주의하세요.
  • 식의 계산: 동류항끼리의 덧셈과 뺄셈, 괄호를 푸는 순서에 유의하여 계산 실수를 줄이세요.

아래 이미지는 교과서 개념잡기 중2-1의 1~48페이지 답지입니다. 고화질로 제공되며, 문제를 푼 후 바로 확인하여 정확한 채점을 하시기 바랍니다.

Page 1
교과서 개념잡기 중2-1 답지 1페이지
Page 2
교과서 개념잡기 중2-1 답지 2페이지
Page 3
교과서 개념잡기 중2-1 답지 3페이지
Page 4
교과서 개념잡기 중2-1 답지 4페이지
Page 5
교과서 개념잡기 중2-1 답지 5페이지
Page 6
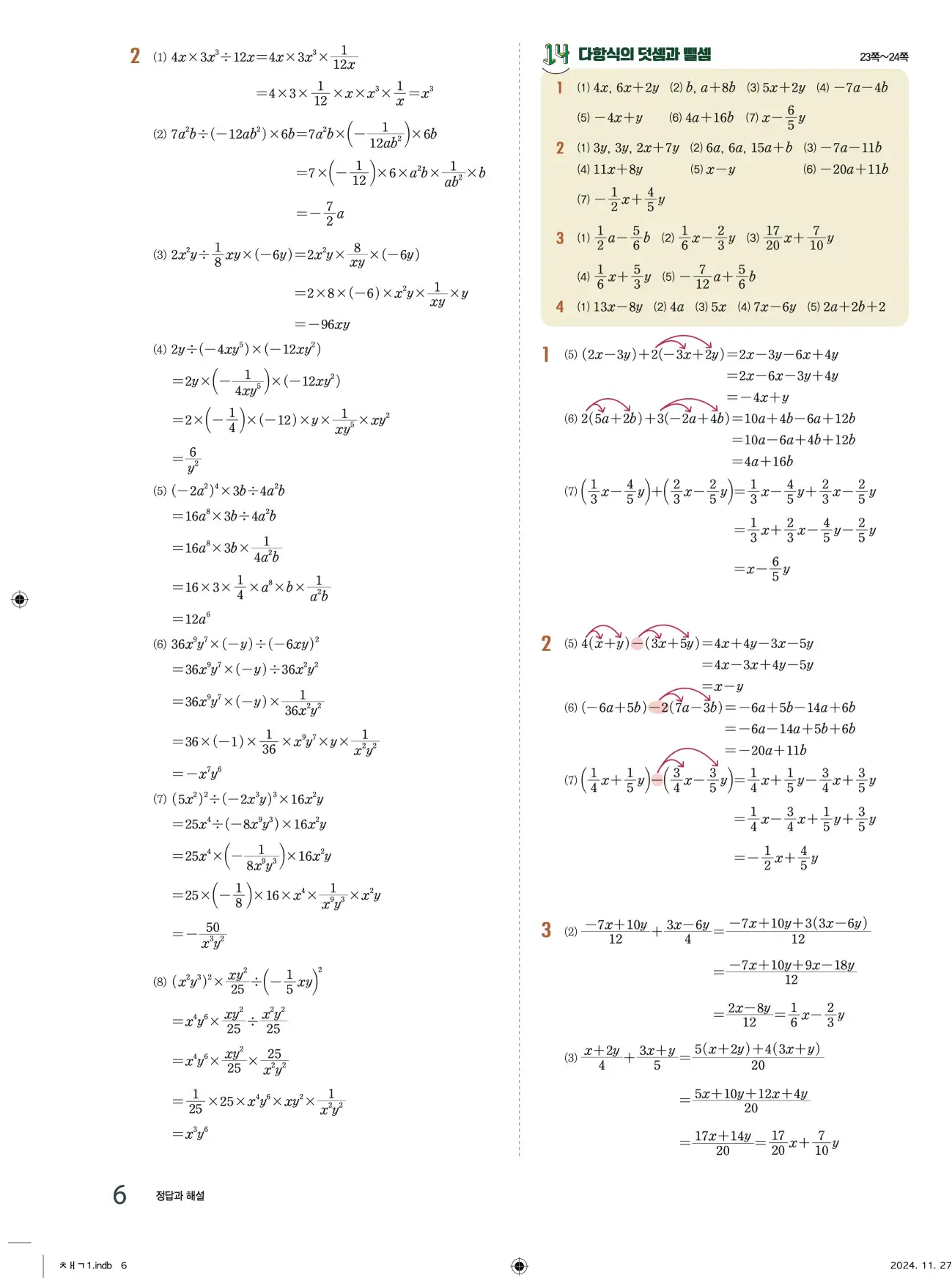
교과서 개념잡기 중2-1 답지 6페이지
Page 7
교과서 개념잡기 중2-1 답지 7페이지
Page 8
교과서 개념잡기 중2-1 답지 8페이지
Page 9
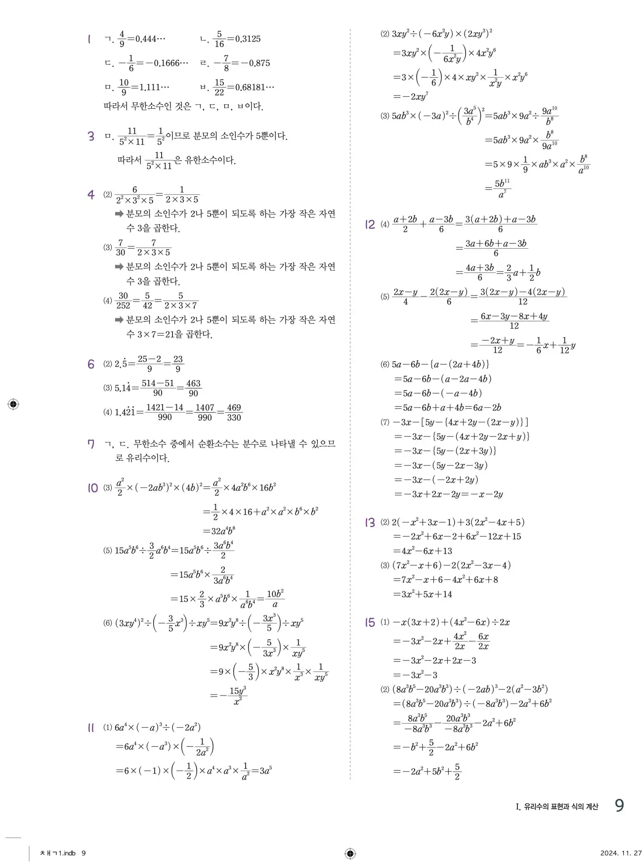
교과서 개념잡기 중2-1 답지 9페이지
Page 10
교과서 개념잡기 중2-1 답지 10페이지
Page 11
교과서 개념잡기 중2-1 답지 11페이지
Page 12
교과서 개념잡기 중2-1 답지 12페이지
Page 13
교과서 개념잡기 중2-1 답지 13페이지
Page 14
교과서 개념잡기 중2-1 답지 14페이지
Page 15
교과서 개념잡기 중2-1 답지 15페이지
Page 16
교과서 개념잡기 중2-1 답지 16페이지
Page 17
교과서 개념잡기 중2-1 답지 17페이지
Page 18
교과서 개념잡기 중2-1 답지 18페이지
Page 19
교과서 개념잡기 중2-1 답지 19페이지
Page 20
교과서 개념잡기 중2-1 답지 20페이지
Page 21
교과서 개념잡기 중2-1 답지 21페이지
Page 22
교과서 개념잡기 중2-1 답지 22페이지
Page 23
교과서 개념잡기 중2-1 답지 23페이지
Page 24
교과서 개념잡기 중2-1 답지 24페이지
Page 25
교과서 개념잡기 중2-1 답지 25페이지
Page 26
교과서 개념잡기 중2-1 답지 26페이지
Page 27
교과서 개념잡기 중2-1 답지 27페이지
Page 28
교과서 개념잡기 중2-1 답지 28페이지
Page 29
교과서 개념잡기 중2-1 답지 29페이지
Page 30
교과서 개념잡기 중2-1 답지 30페이지
Page 31
교과서 개념잡기 중2-1 답지 31페이지
Page 32
교과서 개념잡기 중2-1 답지 32페이지
Page 33
교과서 개념잡기 중2-1 답지 33페이지
Page 34
교과서 개념잡기 중2-1 답지 34페이지
Page 35
교과서 개념잡기 중2-1 답지 35페이지
Page 36
교과서 개념잡기 중2-1 답지 36페이지
Page 37
교과서 개념잡기 중2-1 답지 37페이지
Page 38
교과서 개념잡기 중2-1 답지 38페이지
Page 39
교과서 개념잡기 중2-1 답지 39페이지
Page 40
교과서 개념잡기 중2-1 답지 40페이지
Page 41
교과서 개념잡기 중2-1 답지 41페이지
Page 42
교과서 개념잡기 중2-1 답지 42페이지
Page 43
교과서 개념잡기 중2-1 답지 43페이지
Page 44
교과서 개념잡기 중2-1 답지 44페이지
Page 45
교과서 개념잡기 중2-1 답지 45페이지
Page 46
교과서 개념잡기 중2-1 답지 46페이지
Page 47
교과서 개념잡기 중2-1 답지 47페이지
Page 48
교과서 개념잡기 중2-1 답지 48페이지

댓글 남기기