교과서개념잡기1-1답지 바로보는사진답지 모바일최적화

교과서 개념잡기 중1-1 답지 1편 (1~48p) | 소인수분해, 정수와 유리수

📚 교과서 개념잡기 중1-1 답지 1편 (1~48p)

수학의 기초를 탄탄하게! ‘비상 교과서 개념잡기 중1-1’의 정답과 풀이 1편입니다.
이 포스트에서는 1페이지부터 48페이지까지의 해설을 담고 있습니다.

1편은 중학교 수학의 첫 단추인 소인수분해정수와 유리수 단원을 다룹니다. 음수의 개념과 유리수의 사칙연산은 이후 모든 수학 과정의 기초가 되므로 확실하게 익혀두어야 합니다.

💡 개념잡기 학습 포인트
  • 용어 정리: 소수, 합성수, 거듭제곱 등 새로운 수학 용어의 뜻을 정확히 암기하세요.
  • 연산 연습: 정수와 유리수의 덧셈, 뺄셈, 곱셈, 나눗셈 계산 실수를 줄이기 위해 반복 연습이 필요합니다.
  • 오답 체크: 틀린 문제는 해설을 보며 ‘왜 틀렸는지’ 분석하고 다시 풀어보는 것이 실력 향상의 지름길입니다.
Page 1
교과서 개념잡기 중1-1 답지 1페이지
Page 2
교과서 개념잡기 중1-1 답지 2페이지
Page 3
교과서 개념잡기 중1-1 답지 3페이지
Page 4
교과서 개념잡기 중1-1 답지 4페이지
Page 5
교과서 개념잡기 중1-1 답지 5페이지
Page 6
교과서 개념잡기 중1-1 답지 6페이지
Page 7
교과서 개념잡기 중1-1 답지 7페이지
Page 8
교과서 개념잡기 중1-1 답지 8페이지
Page 9
교과서 개념잡기 중1-1 답지 9페이지
Page 10
교과서 개념잡기 중1-1 답지 10페이지
Page 11
교과서 개념잡기 중1-1 답지 11페이지
Page 12
교과서 개념잡기 중1-1 답지 12페이지
Page 13
교과서 개념잡기 중1-1 답지 13페이지
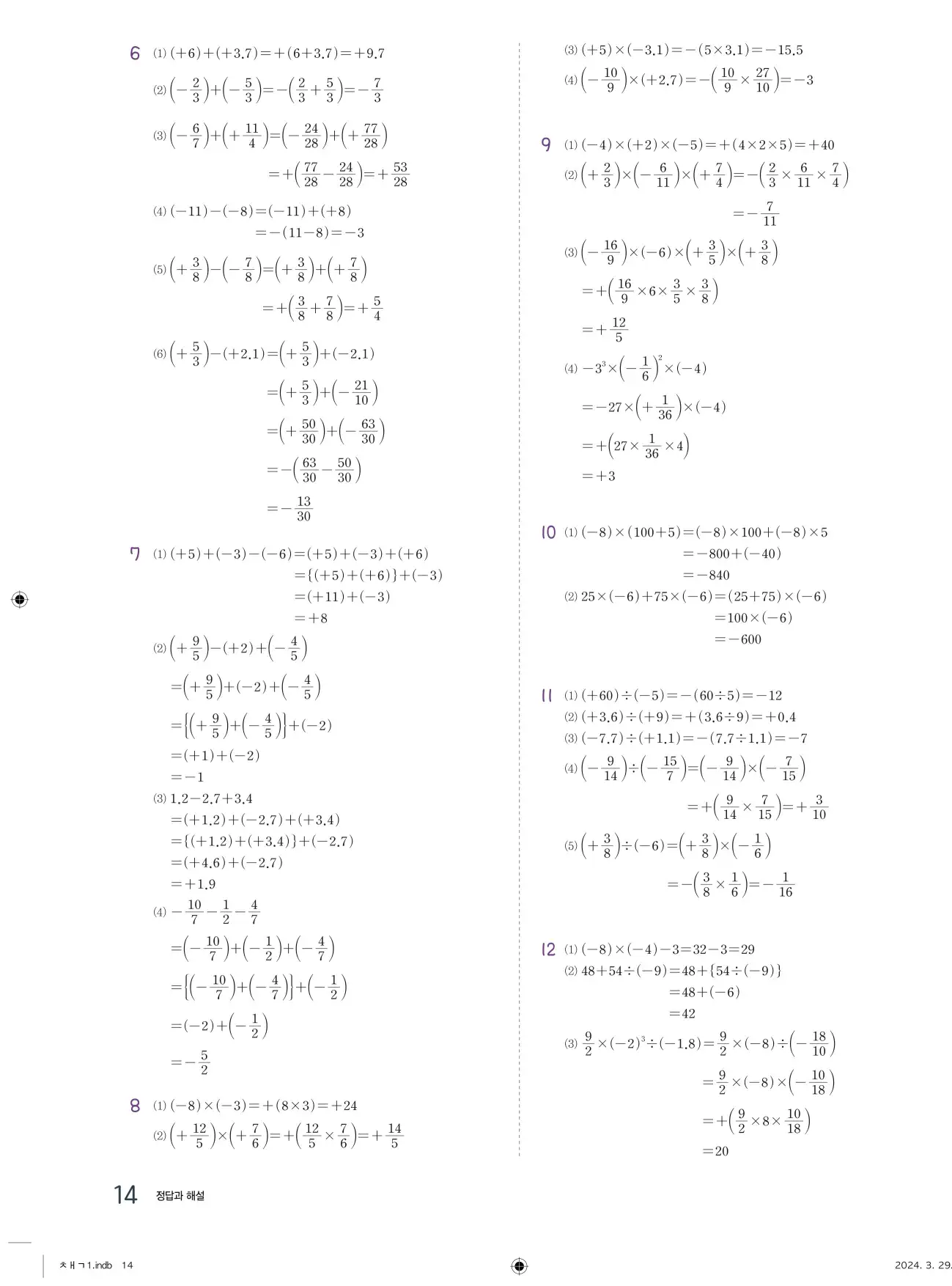
Page 14
교과서 개념잡기 중1-1 답지 14페이지
Page 15
교과서 개념잡기 중1-1 답지 15페이지
Page 16
교과서 개념잡기 중1-1 답지 16페이지
Page 17
교과서 개념잡기 중1-1 답지 17페이지
Page 18
교과서 개념잡기 중1-1 답지 18페이지
Page 19
교과서 개념잡기 중1-1 답지 19페이지
Page 20
교과서 개념잡기 중1-1 답지 20페이지
Page 21
교과서 개념잡기 중1-1 답지 21페이지
Page 22
교과서 개념잡기 중1-1 답지 22페이지
Page 23
교과서 개념잡기 중1-1 답지 23페이지
Page 24
교과서 개념잡기 중1-1 답지 24페이지
Page 25
교과서 개념잡기 중1-1 답지 25페이지
Page 26
교과서 개념잡기 중1-1 답지 26페이지
Page 27
교과서 개념잡기 중1-1 답지 27페이지
Page 28
교과서 개념잡기 중1-1 답지 28페이지
Page 29
교과서 개념잡기 중1-1 답지 29페이지
Page 30
교과서 개념잡기 중1-1 답지 30페이지
Page 31
교과서 개념잡기 중1-1 답지 31페이지
Page 32
교과서 개념잡기 중1-1 답지 32페이지
Page 33
교과서 개념잡기 중1-1 답지 33페이지
Page 34
교과서 개념잡기 중1-1 답지 34페이지
Page 35
교과서 개념잡기 중1-1 답지 35페이지
Page 36
교과서 개념잡기 중1-1 답지 36페이지
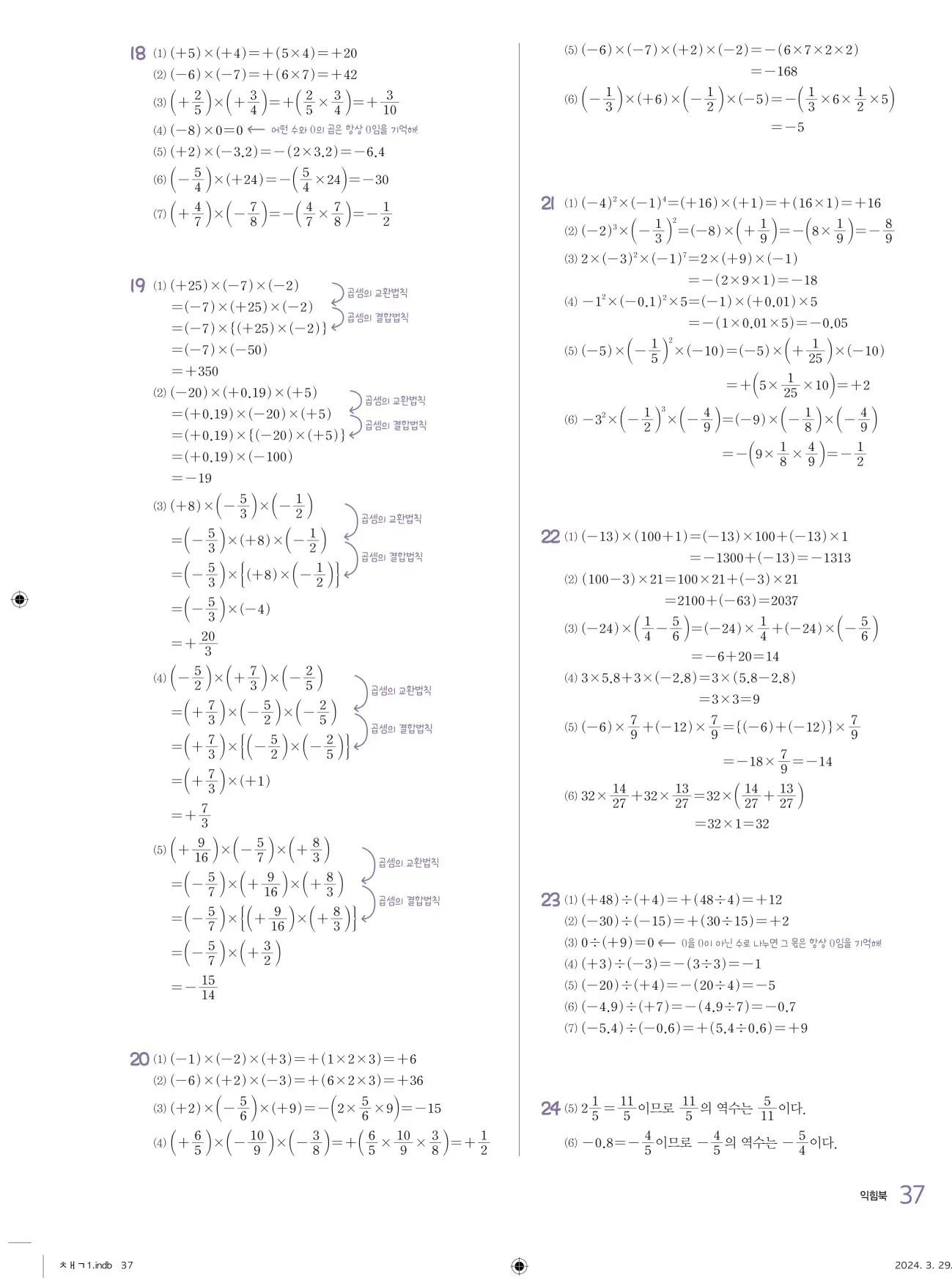
Page 37
교과서 개념잡기 중1-1 답지 37페이지
Page 38
교과서 개념잡기 중1-1 답지 38페이지
Page 39
교과서 개념잡기 중1-1 답지 39페이지
Page 40
교과서 개념잡기 중1-1 답지 40페이지
Page 41
교과서 개념잡기 중1-1 답지 41페이지
Page 42
교과서 개념잡기 중1-1 답지 42페이지
Page 43
교과서 개념잡기 중1-1 답지 43페이지
Page 44
교과서 개념잡기 중1-1 답지 44페이지
Page 45
교과서 개념잡기 중1-1 답지 45페이지
Page 46
교과서 개념잡기 중1-1 답지 46페이지
Page 47
교과서 개념잡기 중1-1 답지 47페이지
Page 48
교과서 개념잡기 중1-1 답지 48페이지

댓글 남기기